SOLUTION: Which is the inverse of f(x)=(x+7)^2/6? http://prntscr.com/8wviuk copy and paste link to see the answer choices please, because I don't know how to type those math symbols in

Algebra ->  Inverses -> SOLUTION: Which is the inverse of f(x)=(x+7)^2/6? http://prntscr.com/8wviuk copy and paste link to see the answer choices please, because I don't know how to type those math symbols in      Log On


   



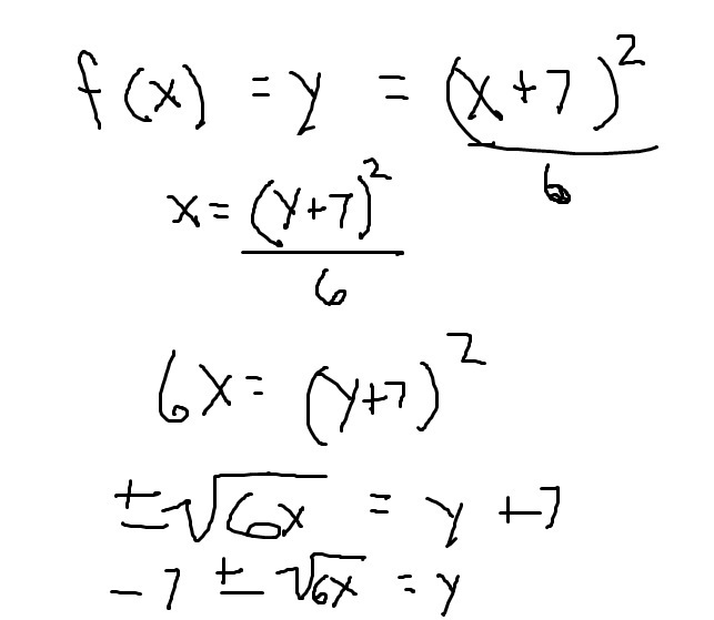
Question 999987: Which is the inverse of f(x)=(x+7)^2/6?
http://prntscr.com/8wviuk
copy and paste link to see the answer choices please, because I don't know how to type those math symbols in.
Thank you so much :)

Answer by fcabanski(1391) About Me  (Show Source):