SOLUTION: I really don't understabd this question. Find the inverse function f-1(x) for the given function f(x) f(x)=x+1/6

Algebra ->  Inverses -> SOLUTION: I really don't understabd this question. Find the inverse function f-1(x) for the given function f(x) f(x)=x+1/6       Log On


   



Question 987241: I really don't understabd this question.
Find the inverse function f-1(x) for the given function f(x)
f(x)=x+1/6

Answer by macston(5194) About Me  (Show Source):
You can put this solution on YOUR website!
.
y=x%2B1%2F6 Solve for x.
.
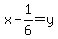
y-1%2F6=x Swap x and y.
.
x-1%2F6=y This is the inverse.
.
ANSWER: f-1(x)=x-1/6
.
-OR-
.
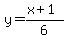
y=%28x%2B1%29%2F6 Solve for x
.
6y=x%2B1
.
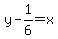
6y-1=x Swap x and y
.
6x-1=y This is the inverse.
.
ANSWER: f-1(x)=6x-1