SOLUTION: I need to find the inverse of f(x)=(1/x+2)-1 so far I have gotten y=-2x-1/x+1 (if that is correct so far, im not sure) my answe key says the answer is f^-1(x)=-(1/-x-1)-2

Algebra ->  Inverses -> SOLUTION: I need to find the inverse of f(x)=(1/x+2)-1 so far I have gotten y=-2x-1/x+1 (if that is correct so far, im not sure) my answe key says the answer is f^-1(x)=-(1/-x-1)-2       Log On


   



Question 938600: I need to find the inverse of f(x)=(1/x+2)-1
so far I have gotten y=-2x-1/x+1 (if that is correct so far, im not sure)
my answe key says the answer is f^-1(x)=-(1/-x-1)-2

please help! thanks!

Answer by josgarithmetic(39623) About Me  (Show Source):
You can put this solution on YOUR website!
Not sure what you really have to start with,
you want the inverse of f(x)=(1/x+2)-1 or when rendered, f%28x%29=%281%2Fx%2B2%29-1.

Let g(x) be the inverse of f.
g%28f%28x%29%29=f%28g%28x%29%29=x---meaning of the inverse of a function
1%2F%28g%28x%29%2B2%29-1=x---using g as the input of f
1%2F%28g%28x%2B2%29%29=x%2B1
1=%28g%28x%29%2B2%29%28x%2B1%29
x%2Ag%28x%29%2B2x%2Bg%28x%29%2B2=1
x%2Ag%28x%29%2Bg%28x%29%2B2x=1
x%2Ag%28x%29%2Bg%28x%29=1-2x
%28x%2B1%29g%28x%29=1-2x
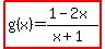
highlight%28g%28x%29=%281-2x%29%2F%28x%2B1%29%29