Question 553900: decide whether the sequence is arithmetic, geometric, or neither. Explain your answer.
24. 6, 24, 96, 384...
25. 1,3,7,13...
26. 4, 13, 22, 31...
27. 3, -1, -5, -9...
28. -11, -7, -3, 1...
29. 1/2, 3/2, 9/2, 27/2...
30. 1/3, 2/3, 1, 4/3...
31. -3/4, 1/8, -1/16, 3/32...
32. -3/5, 4/25, 5/125, 6/625...
find the common ratio of the geometric sequence
33. 1,4,16,64...
34. 3,6,12,24...
35. -3,6,-12, 24...
36. 5,40,320,2560...
37. 136,68,34,17...
38. -1/4,1/8, -1/16,1/32...
write a rule for the nth term of the geometric sequence. then fina a6.
39. 1,-4,16,-64...
40. 5,10,20,40...
41. 2,14,98,686
42. 6,-30,150,-750...
43. 5,-5/3,5/9,-5/27...
44. 2,4/3,8/9,16/27
please show ur work,, thanks for ur help!
Answer by KMST(5328) (Show Source):
You can put this solution on YOUR website! 24. 6, 24, 96, 384...
The differences between consecutive terms are not the same, so it's not an arithmetic sequence:
, 
The ratio of consecutive terms is constant:
= = = So it is a geometric sequence with common ratio = 4.
25. 1,3,7,13... has neither common difference, nor common ratio
, , --> not an arithmetic sequence
, , --> not a geometric sequence
26. 4, 13, 22, 31...
---> arithmetic sequence
27. 3, -1, -5, -9...
, , --> arithmetic sequence
28. -11, -7, -3, 1...
, , --> arithmetic sequence
29. 1/2, 3/2, 9/2, 27/2...
= = = --> geometric sequence
30. 1/3, 2/3, 1, 4/3...
--> arithmetic sequence
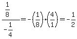
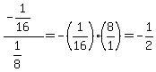
31. -3/4, 1/8, -1/16, 3/32...
the numbers alternate between positive and negative, and so will the difference, so there cannot be a common difference --> not an arithmetic sequence
, , --> not a geometric sequence
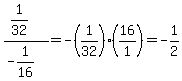
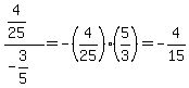
32. -3/5, 4/25, 5/125, 6/625...
, , --> not an arithmetic sequence
, , --> not a geometric sequence
find the common ratio of the geometric sequence
33. 1,4,16,64...
The common ratio is 4.
34. 3,6,12,24...
The common ratio is 2.
35. -3,6,-12, 24...
The common ratio is -2.
36. 5,40,320,2560... You can do this one.
37. 136,68,34,17... You can do this one.
38. -1/4,1/8, -1/16,1/32...
, ,
The common ratio is -1/2.
write a rule for the nth term of the geometric sequence. Then find .
39. 1,-4,16,-64...
First find the common ratio and first term:
The common ratio is 
The first term is .
---> 

40. 5,10,20,40... , 


41. 2,14,98,686 You can do this one.
42. 6,-30,150,-750... You can do this one.
43. 5,-5/3,5/9,-5/27... , 


44. 2,4/3,8/9,16/27 , 

|
|
|