SOLUTION: please help me solve this problem (x^2-1)(x+1) divided by x^2-2x+1
Algebra
->
Inverses
-> SOLUTION: please help me solve this problem (x^2-1)(x+1) divided by x^2-2x+1
Log On
Algebra: Inverse operations for addition and multiplication, reciprocals
Section
Solvers
Solvers
Lessons
Lessons
Answers archive
Answers
Click here to see ALL problems on Inverses
Question 506981
:
please help me solve this problem (x^2-1)(x+1) divided by x^2-2x+1
Answer by
jim_thompson5910(35256)
(
Show Source
):
You can
put this solution on YOUR website!
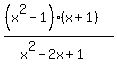
Start with the given expression.
Use the difference of squares to factor.
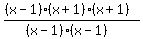
Factor the denominator.
Highlight the common terms.
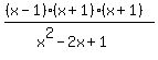
Cancel out the common terms.
Simplify.
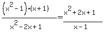
FOIL out the numerator.
So
simplifies to
In other words,
Let me know if you need more help or if you need me to explain a step in more detail.
Feel free to email me at
jim_thompson5910@hotmail.com
or you can visit my website here:
http://www.freewebs.com/jimthompson5910/home.html
Thanks,
Jim