Question 1073969: Hi I asked a question in this link but the person got it wrong, can someone try again please? Thank you.
https://www.algebra.com/tutors/students/your-answer.mpl?question=1073789
Answer by KMST(5328) (Show Source):
You can put this solution on YOUR website! We sometimes use symbols that are difficult to interpret, or make mistakes while typing (or while thinking), but we try.
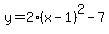
The function , with all real numbers as its domain, is not invertible,
because (like all quadratic functions) it has a vertical axis of symmetry.
That axis of symmetry is the line : .
By restricting the domain of the function
to a domain that does not include points on both sides of that axis,
we can make invertible.
Defining the function only for a set of points with ,
or to a set of points with , makes the function invertible.
If we want to include the point in the domain,
we cannot include any point with ,
but we can include any point with .
The largest restricted domain that includes the point ,
but does not contain any point with is
all real such that .
That can be expressed in interval notation as
  or .
That is the largest interval that includes the point ,
where we can make invertible.
That is the largest such interval that includes the point .
The equation for the axis of symmetry can be found by transforming the function, or by applying a formula.
With formulas:
All quadratic functions can be written in the form ,
for some constants , and .
The axis of symmetry for such a function is the line 
is a quadratic function with and ,
so its axis of symmetry is
--> ---> .
Transforming the function:
or 



The inverse for  , is
---> ---> ---> ,
or  .
Here are the graphs for , , and , which is the line you flip over to get :
|
|
|