SOLUTION: Graph y=-4x^2-2 and its inverse.

Algebra ->  Inverses -> SOLUTION: Graph y=-4x^2-2 and its inverse.      Log On


   



Question 1041244: Graph y=-4x^2-2 and its inverse.
Answer by josmiceli(19441) About Me  (Show Source):
You can put this solution on YOUR website!
+y+=+-4x%5E2+-+2+
Swap x's and y's to get inverse:
+x+=+-4y%5E2+-+2+
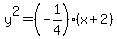
+-4y%5E2+=+x+%2B+2+
+y%5E2+=+%28-1%2F4%29%2A%28+x+%2B+2+%29+
+y+=+sqrt%28+%28-1%2F4%29%2A%28+x+%2B+2+%29+%29+
Note that +x+%3C=+-2+ in order for
this inverse function to have real values
Also, I have to plot
+y+=+-sqrt%28+%28-1%2F4%29%2A%28+x+%2B+2+%29+%29+
because it's included also
----------------------------------
Here are the plots:
This looks right since there is a reflection on the +y+=+x+ line