SOLUTION: Graph the function f (x)=-(1/2)^(x+2). You must plot at least 3 points and show work for how you got them.

Algebra ->  Inverses -> SOLUTION: Graph the function f (x)=-(1/2)^(x+2). You must plot at least 3 points and show work for how you got them.      Log On


   



Question 1006389: Graph the function f (x)=-(1/2)^(x+2). You must plot at least 3 points and show work for how you got them.
Answer by MathLover1(20850) About Me  (Show Source):
You can put this solution on YOUR website!
f+%28x%29=-%281%2F2%29%5E%28x%2B2%29
make a table:
x|y

0|-%281%2F4%29...f+%280%29=-%281%2F2%29%5E%280%2B2%29=>f+%280%29=-%281%2F2%29%5E2=>f+%280%29=-%281%2F4%29
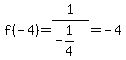
-4|-4...f+%28-4%29=-%281%2F2%29%5E%28-4%2B2%29=>f+%28-4%29=-%281%2F2%29%5E%28-2%29=>f+%28-4%29=1%2F%28-1%2F4%29=-4
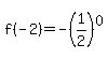
-2|-1...f+%28-2%29=-%281%2F2%29%5E%28-2%2B2%29=>f+%28-2%29=-%281%2F2%29%5E0=>f+%28-2%29=-1
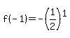
-1|-%281%2F2%29...f+%28-1%29=-%281%2F2%29%5E%28-1%2B2%29=>f+%28-1%29=-%281%2F2%29%5E1=>f+%28-1%29=-%281%2F2%29
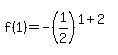
1|-%281%2F8%29...f+%281%29=-%281%2F2%29%5E%281%2B2%29=>f+%281%29=-%281%2F2%29%5E3=>f+%281%29=-%281%2F8%29

2|-1%2F16...f+%282%29=-%281%2F2%29%5E%282%2B2%29=>f+%282%29=-%281%2F2%29%5E4=>f+%282%29=-1%2F16


plot the points: