Question 981660: 6/x-1 - 6/x >= 1
Answer by josgarithmetic(39631) (Show Source):
You can put this solution on YOUR website! 6/x-1 - 6/x >= 1
Using the way you spaced your characters, you could be hoping for this:
6/(x-1) - 6/x >= 1
to appear rendered,
.
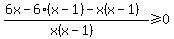
Avoid complications of multiplying by any negative numbers, and arrange for all terms onto only one side of the order.
Use LCD,
Now in this form, the obvious critical values of x are:
-2, 0, 1, 3.
and .
The critical x values break the x-number line into FIVE intervals. You need to test each interval to determine if it is a solution to the inequality. Pick any value in an interval to check.
These intervals are
(-infinity, -2]
[-2,0)
(0,1)
(1,3]
[3, infinity)
You should (or need) to take care of the steps for checking. In anyway, this graph will help to check your results (this is for the left member of the single-expression form inequality, used as a function):

Know that there are two undefined points that will not show on this graph, but they must be understood as MISSING from the function.
|
|
|