Question 948356: Is my answer correct for this inequality?
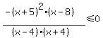
((x+5)^2(8-x))/(x^2-16)≥0
Had to answer in interval notation
what I got was: (-∞,-4]U[4,8)
Please explain
Thanks
Answer by MathLover1(20850) (Show Source):
You can put this solution on YOUR website! ......multiply by to get , put minus in front and do not forget, sign ≥ will become £
as you know, denominator cannot be equal to zero; so, we need to exclude values of that make denominator equal to zero and they are:

if =>
if =>
also, we need to exclude values of that make numerator equal to zero and they are
=>
=>
so,since we already have excluded and => then will be included in interval ( , )
so, interval notation is:
( , ) U ( , ]
so, your solution is part of graph above x-axis, left from blue line passing through and between blue lines passing through and
|
|
|