Question 911693: Rearrange the first inequality to match the second inequality and fill in the blanks for the variables. Then select the appropriate intervals to create the solution set for this inequality.
Then create appropriate intervals.
Thank you
Answer by KMST(5328) (Show Source):
You can put this solution on YOUR website! Check my arithmetic (I have been known to make mistakes).
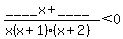
{{10/x + 3/(x+1) < 13/(x+2)}}} ---> ---> ---> --->
--> ---> --->
--> 
The factors of numerator and denominator are
, , and .
Those factors become zero at
, , and respectively,
with 
Each factors becomes zero and changes sign at one of those values of x.
For greater values of x, the factor is positive.
For lesser values of x, the factor is negative.
So, for all four factors are negative,
and .
For only one of the four factors is positive,
and .
For two of the four factors are positive (the other two are negative),
and .
For three of the factors are positive (only is negative),
and .
Finally, for , all four factors are positive,
and .
So the solution to
and to {{10/x + 3/(x+1) < 13/(x+2)}}} is
or .
|
|
|