SOLUTION: Solve the inequalties: 7-x>6

Algebra ->  Inequalities -> SOLUTION: Solve the inequalties: 7-x>6      Log On


   



Question 846787: Solve the inequalties:
7-x>6

Found 2 solutions by jim_thompson5910, josh_jordan:
Answer by jim_thompson5910(35256) About Me  (Show Source):
Answer by josh_jordan(263) About Me  (Show Source):
You can put this solution on YOUR website!
To solve, you want to get x all by itself on one side of the inequality sign. To do this, first subtract 7 from both sides of the inequality:

7 - 7 - x > 6 - 7 ----->

-x > -1

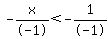
Now, you need to get rid of the negative sign in front of the x. To do this, you need to divide both sides of the equation by -1. Remember, when you divide a negative number from each side of an inequality, you have to flip the inequality in the other direction:

-x%2F-1%3C-1%2F-1 ----->

x < 1