Question 833746: How do I solve this inequality and put it in interval notation? If you can provide step by step on how to simplify the fractions, that would be great! Thanks.
Solve the inequality. (Hint: First rewrite the inequality by setting one side equal to 0.)
3/x − 1 ≥ 4/x + 5
So far I have 3/x-1 - 4/x+5 ≥ 0
The options for the answers are:
(−∞, −5) ∪ (5, ∞)
(−∞, −5) ∪ (1, 19]
(−∞, −1) ∪ (5, 19]
[−5, 1) ∪ (1, 19]
(−∞, 19]
Answer by KMST(5328) (Show Source):
You can put this solution on YOUR website! 

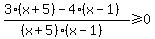
We need a common denominator, and is our best bet.




--> ,
so is part of the solution.
The expression on the left is undefined for
and 
(its value does not exist at those points),
so and are not part of the solution.
The conclusions above eliminate a few options, but we have to work on the problem a little longer.
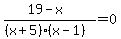
The expression on the left, ,
changes sign (from positive to negative values or vice versa)
at , and .
Those are the only values of where the sign of that expression changes.
Where is it positive? We know that
for , 

So that expression is negative between and ,
and positive for , after changing sign at .
It also changes to positive to the right of ,
but further up it changes sign again at .
It is positive between and .
At it is zero, and for it is negative.

So, there are two intervals where <--> :
and .
In interval notation, we would write that as
(−∞, −5) ∪ (1, 19] .
VERY IMPORTANT NOTE:
Beware of "invisible parentheses". They have tripped many people before.
I once saw an experienced scientist, with an advanced degree, overlook one set of those "invisible parentheses" in hasty calculations, and it caused untold trouble and embarrassment.
should be written as "3/(x-1)>=4/(x+5)" when you cannot write numerator above denominator with a long horizontal fraction bar in between.
That long horizontal fraction implies that you first separately calculate what is above it and what is below it, before dividing.
(2+3)/(3+2)= but 2+3/3+2= .
Most calculators "know" the rules for order of operations,
and they will calculate 2 + 3 / 3 + 2 = 5 , if you enter it like that.
|
|
|