SOLUTION: If a^2+b^2=1=c^2+d^2 where a,b,c,d are real numbers prove that ab+cd ≦ 1. (Use the result x^2+y^2=2xy) I have tried to prove this but I don't think my methods are right.

Algebra ->  Inequalities -> SOLUTION: If a^2+b^2=1=c^2+d^2 where a,b,c,d are real numbers prove that ab+cd ≦ 1. (Use the result x^2+y^2=2xy) I have tried to prove this but I don't think my methods are right.       Log On


   



Question 805781: If a^2+b^2=1=c^2+d^2 where a,b,c,d are real numbers prove that ab+cd ≦ 1.
(Use the result x^2+y^2=2xy)
I have tried to prove this but I don't think my methods are right.
Any help would be greatly appreciated.
Thank you.

Answer by KMST(5328) About Me  (Show Source):
You can put this solution on YOUR website!
Something has been lost in transcription,
because x%5E2%2By%5E2=2xy was not true for nine out of ten sets of x, and y pairs I tried.
It is true, predictably, for x=y=sqrt%282%29%2F2 ,
but 0.6%5E2%2B0.8%5E2=0.36%2B0.64=1 while 2%280.6%29%280.8%29=0.96

I would prove that inequality like this:
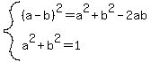
system%28%28a-b%29%5E2=a%5E2%2Bb%5E2-2ab%2Ca%5E2%2Bb%5E2=1%29 --> highlight%28%28a-b%29%5E2=1-2ab%29
system%28%28c-d%29%5E2=c%5E2%2Bd%5E2-2cd%2Cc%5E2%2Bd%5E2=1%29 --> highlight%28%28c-d%29%5E2=1-2cd%29
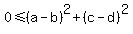
Adding the two highlighted squares we get
%28a-b%29%5E2%2B%28c-d%29%5E2=1-2ab+%2B1-2cd --> %28a-b%29%5E2%2B%28c-d%29%5E2=2-2ab-2cd
and since squares are non-negative, 0%3C=%28a-b%29%5E2%2B%28c-d%29%5E2 .
So,
0%3C=2-2ab-2cd --> 2ab%2B2cd%3C=2 --> %282ab%2B2cd%29%2F2%3C=2%2F2 --> highlight%28ab%2Bcd%3C=1%29