a)

That is only true if the denominator is negative:
--------------------
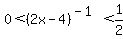
b)
We must requre that the denominator
be positive,
so that we can multiple through by it without changing the order
of the inequality:
This requirement is
With this requirement, we multiply through by the LCD =
which is the same as
which is consistent with the requirement
so the solution is
Edwin