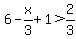
SOLUTION: Would you please help me solve this problem {{{6 - x/3 + 1 > 2/3}}} I'm having difficulties with it and could use another set of eyes. Thank you for your help.

Algebra ->  Inequalities -> SOLUTION: Would you please help me solve this problem {{{6 - x/3 + 1 > 2/3}}} I'm having difficulties with it and could use another set of eyes. Thank you for your help.      Log On


   



Question 167452This question is from textbook Holt Algebra 1
: Would you please help me solve this problem 6+-+x%2F3+%2B+1+%3E+2%2F3
I'm having difficulties with it and could use another set of eyes. Thank you for your help.
This question is from textbook Holt Algebra 1

Answer by jojo14344(1513) About Me  (Show Source):
You can put this solution on YOUR website!
6+-+x%2F3+%2B+1+%3E+2%2F3
Transpose:
%28-1%2F3%29x%3E%282%2F3%29-1-6
%28-1%2F3%29x%3E%282%2F3%29-7
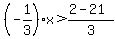
%28-1%2F3%29x%3E%282-21%29%2F3
%28-1%2F3%29x%3E-19%2F3
cross%28-1%2F3%29x%2Fcross%28-1%2F3%29%3E%28-19%2F3%29%2F%28-1%2F3%29
x%3E%28-19%2F3%29%28-3%2F1%29
x%3E%28-19%2Fcross%283%29%29%28cross%28-3%29%2F1%29
highlight%28x%3E19%29, Answer
check:x=19
6-%2819%2F3%29%2B1%3E2%2F3
%2818-19%29%2F3%2B1%3E2%2F3
%28-1%2F3%29%2B1%3E2%2F3
%28-1%2B3%29%2F3%3E2%2F3
2%2F3=2%2F3, it's right that x%3E19, if x=19 it is equal.Try x=20?
thank you,
Jojo