SOLUTION: Solve the rational equation. (Enter your answers as a comma-separated list 5/x − 1+7/x+7=6/x-1 x=___

Algebra ->  Inequalities -> SOLUTION: Solve the rational equation. (Enter your answers as a comma-separated list 5/x − 1+7/x+7=6/x-1 x=___      Log On


   



Question 1131537: Solve the rational equation. (Enter your answers as a comma-separated list
5/x − 1+7/x+7=6/x-1
x=___

Found 2 solutions by MathLover1, greenestamps:
Answer by MathLover1(20850) About Me  (Show Source):
You can put this solution on YOUR website!

5%2F%28x-1%29%2B7%2F%28x%2B7%29=6%2F%28x-1%29......both sides multiply by
%28x-1%29
5%28x-1%29%2F%28x-1%29%2B7%28x-1%29%2F%28x%2B7%29=6%28x-1%29%2F%28x-1%29
5%2B7%28x-1%29%2F%28x%2B7%29=6
7%28x-1%29%2F%28x%2B7%29=6-5
7%28x-1%29%2F%28x%2B7%29=1
7%28x-1%29=1%28x%2B7%29
7x-7=x%2B7
7x-x=7%2B7
6x=14
x=14%2F6
highlight%28x=7%2F3%29


Answer by greenestamps(13216) About Me  (Show Source):
You can put this solution on YOUR website!


5%2F%28x-1%29%2B7%2F%28x%2B7%29=6%2F%28x-1%29

Note that the denominators of two of the three fractions are the same. So gather them together on one side of the equation.

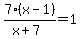
7%2F%28x%2B7%29+=+1%2F%28x-1%29

"cross-multiply" -- i.e., multiply both sides of the equation by both denominators:

7%28x-1%29+=+x%2B7%29
7x-7+=+x%2B7
6x+=+14
x+=14%2F6+=+7%2F3