Question 1127181: Given that coordinates of P amd Q are (-2,6) and (9,3) , find
a) cooridantes of point R that lies on y axis such that PR =QR
b) coordinates of point S that lies on x axis such as PS=QS
Answer by MathLover1(20850) (Show Source):
You can put this solution on YOUR website! given:
amd are ( , ) and ( , ) ,
find:
a) cooridantes of point that lies on axis such that
if point that lies on axis, cooridantes will be ( , )
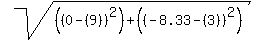
use distance formula to find
( , ) and ( , )
( , ) and ( , )
=>
cooridantes of point : ( , )
proof that
b)
coordinates of point that lies on axis such as
that lies on axis :( , )
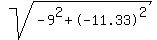
distance formula again
( , ) and ( , )
( , ) and ( , )
=>




so, the point is at ( , )
proof: PS=QS
|
|
|