SOLUTION: 2/x+1 < 4/4x-2 Fractional Inequality

Algebra ->  Inequalities -> SOLUTION: 2/x+1 < 4/4x-2 Fractional Inequality       Log On


   



Question 1120318: 2/x+1 < 4/4x-2 Fractional Inequality
Answer by greenestamps(13208) About Me  (Show Source):
You can put this solution on YOUR website!


Presumably the inequality is

2%2F%28x%2B1%29%3C4%2F%284x-2%29 or 2%2F%28x%2B1%29%3C2%2F%282x-1%29

Rewrite the inequality with "0" on one side and do a sign analysis on the resulting expression.

2%2F%28x%2B1%29-2%2F%282x-1%29+%3C+0
%282%282x-1%29-2%28x%2B1%29%29%2F%28%28x%2B1%29%282x-1%29%29+%3C+0
%284x-2-2x-2%29%2F%28%28x%2B1%29%282x-1%29%29+%3C+0
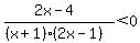
%282x-4%29%2F%28%28x%2B1%29%282x-1%29%29+%3C+0
%28x-2%29%2F%28%28x%2B1%29%282x-1%29%29+%3C+0

The expression is equal to 0 at x = 2; it is undefined at x = -1 and x = 1/2.

The expression is positive for large positive values of x, because all the factors will be positive.

As we "walk" along the number line, the sign of the expression changes each time we pass a point where the numerator or denominator is zero -- i.e., where the expression is either zero or undefined. So

The expression is zero or positive (the inequality is not true) on the interval [2, infinity);
The expression is negative (the inequality is true) on the interval (1/2,2);
The expression is again positive (the inequality is not true) on the interval (-1,1/2); and
The expression is again positive (the inequality is true) on the interval (-infinity, -1)

Answer: The solution set for the inequality is (-infinity,-1) union (1/2,2)

The solution can be verified with a graph of 2/(x+1) (red) and 2/(2x-1) (green):

graph%28400%2C400%2C-3%2C3%2C-10%2C10%2C2%2F%28x%2B1%29%2C2%2F%282x-1%29%29