Question 1074611: solve the inequality algebraically: x^3-x^2-11x+3/2x^3-7x^2-19x+60 ≥ 0
I got (x+3)(x^2-4x+1)/(x+3)(2x^2-13x+20)≥0 so far.
can someone please help me what I can do from here?
Thank you.
Answer by Fombitz(32388) (Show Source):
You can put this solution on YOUR website! Break up the number line into regions using the critical points (zeros) of the numerator and denominator.
Test a point in each region to determine if that region is part of the solution set.
Tedious but straightforward.
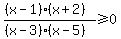
As an example,

So the critical numbers are -2,1,3,5.
You'd break up the number line into regions,
Region 1 : ( , )
Region 2 : ( , )
Region 3 : ( , )
Region 4 : ( , )
Region 5 : ( , )
So for Region 1, you could use to test the inequality.
The number you choose is not important just can't be the endpoints of the interval.



True so Region 1 is part of the solution set.
You're more worried about the sign of the value and not the actual value.
Similarly,
Region 2, 
Region 3, 
Region 4, 
Region 5, 
|
|
|