SOLUTION: I need help solving this rational inequality algebraically. 4/x+2 > 2

Algebra ->  Inequalities -> SOLUTION: I need help solving this rational inequality algebraically. 4/x+2 > 2      Log On


   



Question 1074120: I need help solving this rational inequality algebraically. 4/x+2 > 2
Found 2 solutions by josgarithmetic, Edwin McCravy:
Answer by josgarithmetic(39625) About Me  (Show Source):
You can put this solution on YOUR website!
If the inequality is as written, 4/x+2>2, then 4%2Fx%2B2%3E2

2%2Fx%2B1%3E1

2%2Fx%3E0

highlight_green%28x%3E0%29

Answer by Edwin McCravy(20060) About Me  (Show Source):
You can put this solution on YOUR website!


The tutor above points out something that I have long known.
It is virtually impossible to successfully teach students to write
mathematics containing fractions correctly all on one line.

You wrote this:

4/x+2 > 2

which means this 4%2Fx%2B2%3E2, which is the way the tutor took
it. 

However I reason that since you are taking a higher level of
algebra, your teacher would not be testing you to see if you are
able to do a simple thing like the first step would require, to
subtract 2 from both sides to get 4%2Fx%3E0

Therefore I assume that you meant this: 

4%2F%28x%2B2%29+%3E+2

instead, which when written on one line would require parentheses
around the denominator; otherwise the +2 will not be taken as part 
of the denominator but will be taken as a separate term.  So it 
should be written this way:

4/(x+2) > 2 

------------------------------

4%2F%28x%2B2%29+-+2+%3E+0

4%2F%28x%2B2%29+-+2%28x%2B2%29%2F%28x%2B2%29+%3E+0

%284+-+2%28x%2B2%29%29%2F%28x%2B2%29+%3E+0

%284+-+2x-4%29%2F%28x%2B2%29+%3E+0

-%282x%29%2F%28x%2B2%29+%3E+0

We find the critical numbers by setting
numerator = 0 and denominator = 0

2x = 0;   x+2 = 0
 x = 0;     x = -2

[Note: These critical numbers are NOT permissible values of x]

We place the critical numbers on a number line:

-------o-----o------------
-4 -3 -2 -1  0  1  2  3  4

We test a value for x left of -2, say -3 in this:

-%282x%29%2F%28x%2B2%29+%3E+0
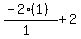
%28-2%28-3%29%29%2F%28-3%29%2B2%29+%3E+0
6%2F%28-1%29+%3E+0
-6+%3E+0

That's false so we do not shade left of -2

We test a value for x between -2 and 0, say -1 in this:

-%282x%29%2F%28x%2B2%29+%3E+0
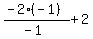
%28-2%28-1%29%29%2F%28-1%29%2B2%29+%3E+0
6%2F%281%29+%3E+0
6+%3E+0

That's true so we shade between -2 and 0.

-------o=====o------------
-4 -3 -2 -1  0  1  2  3  4

We test a value for x right of 0, say 1 in this:

-%282x%29%2F%28x%2B2%29+%3E+0
%28-2%281%29%29%2F%281%29%2B2%29+%3E+0
%28-2%29%2F%283%29+%3E+0
-2%2F3+%3E+0

This is false so we do not shade to the right of 0.

Answer {x | -2 < x < 0} in set-builder notation 
       or (-2,0) in interval notation.

Edwin