SOLUTION: if x,y,z>= 0, 3y+2z = 3+x, 3y+z = 4-3x, Find the largest and smallest value of 3x-3y+4z.

Algebra ->  Inequalities -> SOLUTION: if x,y,z>= 0, 3y+2z = 3+x, 3y+z = 4-3x, Find the largest and smallest value of 3x-3y+4z.      Log On


   



Question 1016896: if x,y,z>= 0, 3y+2z = 3+x, 3y+z = 4-3x, Find the largest and smallest value of 3x-3y+4z.
Answer by robertb(5830) About Me  (Show Source):
You can put this solution on YOUR website!
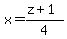
Subtracting the 2nd equation from the 1st equation, and solving for x, we get
x+=+%28z%2B1%29%2F4.
Now 3 times the 1st equation plus the 2nd equation, and solving for y, we get
y+=+%2813-7z%29%2F12.
Substituting these last two equations into 3x - 3y + 4z, and simplifying, we get
%2813z+-+5%29%2F2.
Since z%3E+=0, the minimum value of 3x - 3y + 4z is -5/2, while it has no largest value.