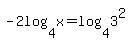
SOLUTION: solve each equation algebraically, {{{-2log(4,x)}}}={{{log(4,3^2)}}}

Algebra ->  Human-and-algebraic-language -> SOLUTION: solve each equation algebraically, {{{-2log(4,x)}}}={{{log(4,3^2)}}}      Log On


   



Question 733784: solve each equation algebraically, -2log%284%2Cx%29=log%284%2C3%5E2%29
Found 2 solutions by josmiceli, MathLover1:
Answer by josmiceli(19441) About Me  (Show Source):
You can put this solution on YOUR website!
-2log%284%2Cx%29+=+log%284%2C3%5E2%29
log%284%2Cx%5E%28-2%29%29+=+log%284%2C3%5E2%29
If the logs and the bases are equal,
the results are equal
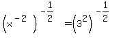
+x%5E%28-2%29+=+3%5E2+
Raise each side to the +-1%2F2+ power
+%28+x%5E%28-2%29%29%5E%28-1%2F2%29+=+%28+3%5E2+%29%5E%28-1%2F2%29+
+x+%5E%28+-2%2A%28-1%2F2%29+%29+=+3%5E%28+2%2A%28-1%2F2%29+%29+
+x+=+3%5E%28-1%29+
+x+=+1%2F3+
-----------
check:
+-2log%284%2Cx%29+=+log%284%2C3%5E2%29
+-2log%284%2C1%2F3%29+=+2%2Alog%284%2C3%29+
+-log%284%2C1%2F3%29+=+log%284%2C3%29+
+%281%2F3%29%5E%28-1%29+=+3+
+3+=+3+
OK

Answer by MathLover1(20855) About Me  (Show Source):
You can put this solution on YOUR website!
-2log%284%2Cx%29=log%284%2C3%5E2%29

log%284%2C%28x%29%5E-2%29=log%284%2C3%5E2%29...if so, then

x%5E-2=3%5E2

1%2Fx%5E2=9

1=9x%5E2

1%2F9=x%5E2

sqrt%281%2F9%29=x

1%2F3=x

+graph%28+600%2C+600%2C+-5%2C+5%2C+-5%2C+5%2C+-2log%284%2Cx%29%2Clog%284%2C3%5E2%29%29+