SOLUTION: find the expression equivalent to (-m)^2 / m^-3 which m is not equal to 0
Algebra
->
Human-and-algebraic-language
-> SOLUTION: find the expression equivalent to (-m)^2 / m^-3 which m is not equal to 0
Log On
Word Problems: Translating English into Algebreze
Word
Solvers
Solvers
Lessons
Lessons
Answers archive
Answers
Click here to see ALL problems on Human-and-algebraic-language
Question 672618
:
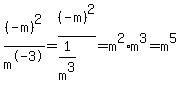
find the expression equivalent to (-m)^2 / m^-3 which m is not equal to 0
Answer by
MathLover1(20850)
(
Show Source
):
You can
put this solution on YOUR website!