Question 35675: the trapezoid has an area of 48cm squared. find the value of x the height is x+1 base is x+6 and base is x Answer by Earlsdon(6294) (Show Source):
You can put this solution on YOUR website! Start with the formula for the area of a trapezoid:
In your problem:
A = 48 sq.cm.
b1 = x+6
b2 = x
h = x+1
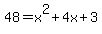
Simplify. Factor a 2 in the top. Cancel the 2s. Perform the indicated multiplication. Subtract 48 from both sides of the equation. Solve for x by factoring. Apply the zero products principle. and/or
If then This is an acceptable solution as it is positive.
If then This is not meaningful as the length of the base has to be a positive value.
Answer:
x = 5 cm.