Let
-----> 1st number
------------> 2nd number
1st condition, average is 7:

2nd condition: 3 times one number equals half the other,

In 2nd condition we get by cross multiplying:

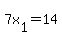
------> condition 3, and substitute in condition 1:

----> 
, 1st number
Via condition3:
, 2nd number
Check via condition 1:



Check via condition 2:


Thank you,
Jojo