SOLUTION: Complete the square and write the equation in standard form. Then give the center and radius of the circle.
x2 + y2 - 2x - 4y - 4 = 0
Algebra ->
Human-and-algebraic-language
-> SOLUTION: Complete the square and write the equation in standard form. Then give the center and radius of the circle.
x2 + y2 - 2x - 4y - 4 = 0
Log On
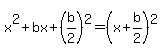
In order to complete the square, we can use this equation:
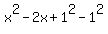
Now let's make the x's fit into this equation:
We know that b = -2. But make sure to subtract whatever you add on so that everything adds up back in the original formula:
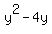
Now let's make the y's fit into this equation:
We know that b = -4
Putting everything back into the original equation, we can now write it in standard form:
Moving all the excess numbers to the side:
The center of a circle (h,k) and the radius r can be found using this equation:
Back to the equation:
It looks like h = -1 and k = 4. Therefore the center of the circle is (-1,4).
It also looks like r2 = 9. Let's solve for r:
Therefore, the radius of the circle is 3.