Question 125279: Hello can someone please try and solve these problems, i would greatly appericiate it!!
J. Rivera.
1) State the domain of the following:
a)
Answer:
b)
2x+1 OVER x-s
Answer:
c) h(x)=3x^2+5x-3
Answer:
d) l(x)-2x+3
Answer:
e) m(x)=3/x^2-7 m "3 OVER x^2-7"
Answer:
\\\\\\\\\\\\\\\\\\\\\\\\\\\\\\\\\\\\\\\\\\\\\\\\\\\\\\\\\\\\\\\\\\\\\\\\\\\\\\\\
Answer by MathLover1(20850) (Show Source):
You can put this solution on YOUR website! 1) State the domain of the following:
a)
Answer:
you know that has to be positive
Therefore if the result would be a  inside the radical which is .
so, the domain would be to (0 is allowed)
Interval notation [ , )
b)
Answer:
denominator cannot be equal to ; so, if we will have to divide by which doesn't make a sense.
if ...then
the domain would be to and from to
Interval notation ( , ] U ( , ]
c) h(x)=3x^2+5x-3
Answer:
first find square roots
| Solved by pluggable solver: Quadratic Formula |
Let's use the quadratic formula to solve for x:
Starting with the general quadratic

the general solution using the quadratic equation is:

So lets solve ( notice , , and )
Plug in a=3, b=5, and c=-3
Square 5 to get 25
Multiply to get 
Combine like terms in the radicand (everything under the square root)
Simplify the square root (note: If you need help with simplifying the square root, check out this solver)
Multiply 2 and 3 to get 6
So now the expression breaks down into two parts
or 
Now break up the fraction
or 
Simplify
or 
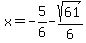
So the solutions are:
or 
|
the domain would be to and from to
Interval notation ( , ] U [ , )
or
the domain would be to and from to
Interval notation ( , ] U [ , )
d) l(x)= -2x+3
Answer:
( , )
e) m(x)=3/x^2-7 m "3 OVER x^2-7"
Answer:
cannot be equal to ; ... ......
the domain would be to and from to
Interval notation ( , ] U [ , )
|
|
|