I'm not sure how to solve it either. It depends on whether you mean:
or
or
or
I actually suspect it is the third choice, so I'll do that one. If it is
really something else, write back
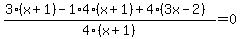
First put everything on one side.
The next thing you need is a common denominator. Since there are no common
factors among the denominators, the product of the denominators (
is your LCD.
Simplify the numerator:

Now, remember that
if and only if
and
So we need to solve


Check the answer
First, make sure that the solution does not cause any denominator in the
original equation to go to zero.
, so we can consider
as a possible solution.
: Answer checks.