SOLUTION: one-quarter of a number, increased by one-half of the same number is twelve. What is the number?

Algebra ->  Human-and-algebraic-language -> SOLUTION: one-quarter of a number, increased by one-half of the same number is twelve. What is the number?      Log On


   



Question 1153454: one-quarter of a number, increased by one-half of the same number is twelve. What is the number?
Found 2 solutions by josgarithmetic, MathLover1:
Answer by josgarithmetic(39623) About Me  (Show Source):
Answer by MathLover1(20850) About Me  (Show Source):
You can put this solution on YOUR website!
let the number be x
one-quarter of a number,:x%2F4
one-half of the same number:x%2F2
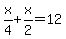
if x%2F4 increased by x%2F2 is twelve, we have
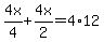
x%2F4%2Bx%2F2=12.....both sides multiply by 4
4x%2F4%2B4x%2F2=4%2A12
x%2B2x=48
3x=48
x=48%2F3
x=16

the number is 16