SOLUTION: I can't find the coordinates of at least 5 points for these functions on their respective graphs (according to the problem). I tried but I just can't seem to figure it out. The

Algebra ->  Graphs -> SOLUTION: I can't find the coordinates of at least 5 points for these functions on their respective graphs (according to the problem). I tried but I just can't seem to figure it out. The      Log On


   



Question 962526: I can't find the coordinates of at least 5 points for these functions on their respective graphs (according to the problem).
I tried but I just can't seem to figure it out.
The problem states:
Graph the following. Also find the equations of any asymptotes, and find the coordinates of at least 5 points on each graph. Use the information to graph each function.
1. f(x)=x^2+9/x+3
2. f(x)=(x-3)(x+5)/(x+3)
Please help me.

Answer by MathLover1(20850) About Me  (Show Source):
You can put this solution on YOUR website!
1.
f%28x%29=%28x%5E2%2B9%29%2F%28x%2B3%29
to find the coordinates of at least 5 points choose 5values for x and calculate f%28x%29
x|f%28x%29

-12|-17=>f%28-12%29=%28%28-12%29%5E2%2B9%29%2F%28-12%2B3%29=>f%28-12%29=153%2F-9=-17
-6|-15=>f%28-6%29=%28%28-6%29%5E2%2B9%29%2F%28-6%2B3%29=>f%28-6%29=45%2F-3=-15
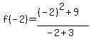
-2|13=>f%28-2%29=%28%28-2%29%5E2%2B9%29%2F%28-2%2B3%29=>f%28-2%29=13%2F1=13
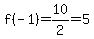
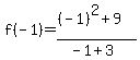
-1|5=>f%28-1%29=%28%28-1%29%5E2%2B9%29%2F%28-1%2B3%29=>f%28-1%29=10%2F2=5
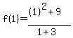
0|3=>f%280%29=%28%280%29%5E2%2B9%29%2F%280%2B3%29=>f%280%29=9%2F3=3
1|5%2F2=>f%281%29=%28%281%29%5E2%2B9%29%2F%281%2B3%29=>f%281%29=10%2F4=5%2F5
2|13%2F5=>f%282%29=%28%282%29%5E2%2B9%29%2F%282%2B3%29=>f%282%29=13%2F5
now, plot these points and draw a line through:






2.
f%28x%29=%28%28x-3%29%28x%2B5%29%29%2F%28x%2B3%29+
x|f%28x%29
-10|-9.28=>f%28-10%29=%28%28-10-3%29%28-10%2B5%29%29%2F%28-10%2B3%29=>f%28-10%29=%28%28-13%29%28-5%29%29%2F%28-7%29=-9.28
-6|-3=>f%28-6%29=%28%28-6-3%29%28-6%2B5%29%29%2F%28-6%2B3%29=>f%28-6%29=%28%28-9%29%28-1%29%29%2F%28-3%29=-3
-2|-15=>f%28-2%29=%28%28-2-3%29%28-2%2B5%29%29%2F%28-2%2B3%29=>f%28-2%29=%28%28-5%29%283%29%29%2F%281%29=-15
-1|-8=>f%28-1%29=%28%28-1-3%29%28-1%2B5%29%29%2F%28-1%2B3%29=>f%28-1%29=%28%28-4%29%284%29%29%2F%282%29=-16%2F2=-8
0|-5=>f%280%29=%28%280-3%29%280%2B5%29%29%2F%280%2B3%29=>f%280%29=%28%28-3%29%285%29%29%2F%283%29=-15%2F3=-5
1|-3=>f%281%29=%28%281-3%29%281%2B5%29%29%2F%281%2B3%29=>f%281%29=%28%28-2%29%286%29%29%2F%284%29=-12%2F4=-3
2|-7%2F5=>f%282%29=%28%282-3%29%282%2B5%29%29%2F%282%2B3%29=>f%282%29=%28%28-1%29%287%29%29%2F%285%29=-7%2F5