SOLUTION: A line passes through the point P(-2,3) and has a slope of -1/2. What graph best represents the line?

Algebra ->  Graphs -> SOLUTION: A line passes through the point P(-2,3) and has a slope of -1/2. What graph best represents the line?      Log On


   



Question 92683: A line passes through the point P(-2,3) and has a slope of -1/2. What graph best represents the line?
Answer by bucky(2189) About Me  (Show Source):
You can put this solution on YOUR website!
There are several ways you can do this problem. One way is to use the equation that says
the slope m is equal to:
.
m+=+%28y+-+y%5B1%5D%29%2F%28x+-+x%5B1%5D%29
.
where y%5B1%5D comes from the point P and is +3 and x%5B1%5D also comes from the point P
and is -2. The problem also tells you that the slope is -1%2F2.
Substituting
these values into the slope equation to get:
.
-1%2F2+=+%28y+-+%28%2B3%29%29%2F%28x+-+%28-2%29%29
.
This simplifies to:
.
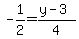
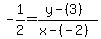
-1%2F2+=+%28y+-3%29%2F%28x%2B2%29
.
and this is an equation that can be used to graphically represent the line that has a slope
of -1%2F2 and have as one point (-2,3). You can find other points on that will be on
the graph by assigning values to x and computing the corresponding values of y. For example,
you can let x = 2. Substitute +2 for x and the equation becomes:
.
-1%2F2+=+%28y+-3%29%2F%282%2B2%29
.
When you combine the 2+2 to get 4 in the denominator of the right side the equation
becomes:
.
-1%2F2+=+%28y-3%29%2F4
.
If you multiply both sides by 4 the equation becomes:
.
4%2A%28-1%2F2%29+=+%284%2A%28y-3%29%29%2F4
.
On the left side the produce of 4*(-1/2) = -2 and on the right side the 4 in the numerator
cancels with the 4 in the denominator and you are left with just y-3. So the equation now
is:
.
-2+=+y+-+3
.
You can solve for y by adding +3 to both sides to get:
.
%2B1+=+y
.
So now you know that the point in which x equals 2 and y equals 1 is also on the graph.
.
So now you know two points on the line ... (-2,3) which was given in the problem and (2, 1)
which you just calculated. You can plot these two points and get the graph by drawing a
straight line that goes through these two points.
.
Another way that you could get an equation for that line is to use the slope intercept form
of an equation. The slope intercept form is:
.
y+=+m%2Ax+%2B+b
.
in which m is the slope and is given as -1%2F2. b is the value of y where the graph
crosses the y-axis. Substituting the value of the slope into this slope
intercept form
results in:
.
y+=+%28-1%2F2%29x+%2B+b
.
You are given that the point (-2,3) is on the line. So you can substitute 3 for y and -2 for
x into the equation to get:
.
3+=+%28-1%2F2%29%28-2%29+%2B+b
.
Doing the multiplication on the right side transforms the equation to:
.
3+=+1++%2B+b
.
You can now solve for b by subtracting 1 from both sides to get:
.
2+=+b
.
Now you can substitute this value for b and the slope value of -1%2F2 into the slope
intercept form to get another equation for the graph:
.
y+=+%28-1%2F2%29x+%2B+2
.
This is the same equation as %28-1%2F2%29+=+%28y+-3%29%2F%28x%2B2%29 that we got before. It's just in
a little different form. You can also get more points on the graph from the slope intercept
form by assigning values to x and computing the corresponding value of y. Each time you do
this you get another point on the graph. You can plot these points and connect them with
a line that is then the graph you are looking for.
.
When you get done you should have a graph that looks like this:
.
graph%28300%2C300%2C-15%2C15%2C-15%2C15%2C%28-1%2F2%29x%2B2%29
.
Note that the graph crosses the y axis at +2, which is the value we found for b above.
Also notice that the point (-2,3) is on the graph. Also notice that the slope of the graph
is negative because it slopes down as you move to the right.
.
Hope this helps you to understand the problem a little better.