SOLUTION: Find the equation of the parabola that has irrational roots at x=1+- square root of 5. and passes through the point (3,2).(the graph is a negative downward facing parabola)

Algebra ->  Graphs -> SOLUTION: Find the equation of the parabola that has irrational roots at x=1+- square root of 5. and passes through the point (3,2).(the graph is a negative downward facing parabola)      Log On


   



Question 87737: Find the equation of the parabola that has irrational roots at x=1+- square root of 5. and passes through the point (3,2).(the graph is a negative downward facing parabola)
Answer by Nate(3500) About Me  (Show Source):
You can put this solution on YOUR website!
Roots: 1+%2B-+sqrt%285%29
(x - r) determines the root:
%28x+-+%281+%2B+sqrt%285%29%29%29%28x+-+%281+-+sqrt%285%29%29%29

x%5E2+-+x+-+xsqrt%285%29+-+x+%2B+xsqrt%285%29+%2B+1+-+5
x%5E2+-+2x+-+4
(3,-1)
When 3 is plugged, we get y = -1... We need -1 to be 2..!
-1j = 2
j = -2
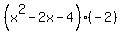
We must multiply the whole equation by -2 to bend the parabola...
%28x%5E2+-+2x+-+4%29%28-2%29
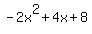
-2x%5E2+%2B+4x+%2B+8
graph%28300%2C300%2C-5%2C5%2C-5%2C5%2C-2x%5E2+%2B+4x+%2B+8%29