Question 84511: Could I possibly get some help on these questions. Whatever help I can get I would appreciate it.
Find the slope of the line passing through the points (4,0) and (4,5)
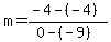
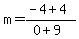
Find the slope passing through the points (-9,-4) and (0,-4).
Determine which two equations represent parallel lines.
a. y=5/3x+4 b. y=-3/5x-7 c. y=2x+8 d. y=2x-4.
I was thinking c and d would be parallel, but I would like to get that verified before I turn that in.
Write the equation of the line with slope -2 and y-intercept (0,0). Then graph the line.
Answer by jim_thompson5910(35256) (Show Source):
You can put this solution on YOUR website!
Solved by pluggable solver: Finding the slope |
Slope of the line through the points (4, 0) and (4, 5)
Since you CANNOT divide by 0, this means that the slope of the line is undefined.
Answer: The slope of the line is undefined.
|
Any two parallel lines have equal slopes. Since c) and d) have equal slopes of 2, this means they are parallel.
Solved by pluggable solver: FIND a line by slope and one point |
What we know about the line whose equation we are trying to find out:
- it goes through point (0, 0)
- it has a slope of -2
First, let's draw a diagram of the coordinate system with point (0, 0) plotted with a little blue dot:

Write this down: the formula for the equation, given point and intercept a, is
(see a paragraph below explaining why this formula is correct)
Given that a=-2, and , we have the equation of the line:

Explanation: Why did we use formula ? Explanation goes here. We are trying to find equation y=ax+b. The value of slope (a) is already given to us. We need to find b. If a point ( , ) lies on the line, it means that it satisfies the equation of the line. So, our equation holds for ( , ): Here, we know a, , and , and do not know b. It is easy to find out: . So, then, the equation of the line is: .
Here's the graph:

|
|
|
|