SOLUTION: Solve: |x/x-4| > (or equal to) 1.

Algebra ->  Graphs -> SOLUTION: Solve: |x/x-4| > (or equal to) 1.       Log On


   



Question 685031: Solve: |x/x-4| > (or equal to) 1.
Answer by Edwin McCravy(20065) About Me  (Show Source):
You can put this solution on YOUR website!
|x/x-4| > (or equal to) 1.
abs%28x%2F%28x-4%29%29%22%22%3E=%22%221
We remove absolute value bars:

x%2F%28x-4%29%22%22%3C=%22%22-1 OR x%2F%28x-4%29%22%22%3E=%22%221, x%3C%3E4}

Solve the first inequality:


x%2F%28x-4%29%22%22%3C=%22%22-1

Get 0 on the right:

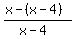
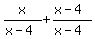
x%2F%28x-4%29%2B1%22%22%3C=%22%220

x%2F%28x-4%29%2B%28x-4%29%2F%28x-4%29%22%22%3C=%22%220

%28x%2B%28x-4%29%29%2F%28x-4%29%22%22%3C=%22%220


%28x%2Bx-4%29%2F%28x-4%29%22%22%3C=%22%220


%282x-4%29%2F%28x-4%29%22%22%3C=%22%220

Critical numbers are when numerator or denominator = 0
2x-4=0 gives critical number 2
x-4=0 gives critical number 4

----------o-----o------
-1  0  1  2  3  4  5  6

We test a value of x to the left of 2.  We pick 0 and
substitute it into the original inequality


abs%28x%2F%28x-4%29%29%22%22%3E=%22%221
abs%280%2F%280-4%29%29%22%22%3E=%22%221
0%22%22%3E=%22%221

That is false so we do not shade the number line to the
left of 2.

We test a value of x between 2 and 4.  We pick 3 and
substitute it into the original inequality


abs%28x%2F%28x-4%29%29%22%22%3E=%22%221
abs%283%2F%283-4%29%29%22%22%3E=%22%221
3%2F1%22%22%3E=%22%221
3%22%22%3E=%22%221

That is true so we shade the number line between 2 and 4.

----------o=====o------
-1  0  1  2  3  4  5  6

We test a value of x to the right of 4.  We pick 5 and
substitute it into the original inequality


abs%28x%2F%28x-4%29%29%22%22%3E=%22%221
abs%285%2F%285-4%29%29%22%22%3E=%22%221
5%2F1%22%22%3E=%22%221
5%22%22%3E=%22%221

That is true so we shade the number line to the
right of 4.

----------o=====o=====>
-1  0  1  2  3  4  5  6

Now we text the critical numbers in the original inequality

abs%282%2F%28x-4%29%29%22%22%3E=%22%221
abs%282%2F%282-4%29%29%22%22%3E=%22%221
2%2F%28-2%29%22%22%3E=%22%221
1%22%22%3E=%22%221

This is true so we darken the circle at the value 2

----------@=====o=====>
-1  0  1  2  3  4  5  6

We do not darken the circle at 4 because the denominator in the
original inequality cannot be zero.

Now we consider the other inequality

x%2F%28x-4%29%22%22%3E=%22%221

x%2F%28x-4%29%22%22%3E=%22%221

Get 0 on the right:

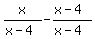
x%2F%28x-4%29-1%22%22%3C=%22%220

x%2F%28x-4%29-%28x-4%29%2F%28x-4%29%22%22%3C=%22%220

%28x-%28x-4%29%29%2F%28x-4%29%22%22%3C=%22%220

%28x-x-4%29%2F%28x-4%29%22%22%3C=%22%220

%28-4%29%2F%28x-4%29%22%22%3C=%22%220

The only critical number this time is 
x-4=0 gives critical number 4.

We have already considered that critical number
in the first part so nothing is gained from this 
second inequality.  Therefore the solution is 

----------@=====o=====>
-1  0  1  2  3  4  5  6

Which has interval notation

         [2, 4) U (4, infinity)

Edwin