Question 661052: I have a problem where on a graph, x= -5, -4, -3, -2 and y= 2, 0, -2, -4. How do I write an equation for y='s when the difference between y & x is not constant?
Answer by ewatrrr(24785) (Show Source):
You can put this solution on YOUR website!
Hi,
It's not the difference between the y & x-values we need to explore...
1st***We need to use the points and determine the behavior of the
'change' that occurs moving from one to another.
(change in y) / (change in x ) determines the slope of this Line
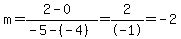
x= -5, -4, -3, -2 and y= 2, 0, -2, -4
Points:
(-5,2)
(-4,0) 
(-3,-2) m = 2/-1 = -2
(-2,-4) m = 2/-1 = 2
Using the standard slope-intercept form for an equation of a line y = mx + b
where m is the slope and b the y-intercept.
y = -2x+ b || Using (x,y) ordered pair (-4,0) to solve for b

8 = b
y = -2x+ 8
|
|
|