Question 56536: Complete the follwing function for g(x)=-4x^2+16x+19 Generate the graph and find the Vertex and x&y intercepts for the graph, show all work
Answer by funmath(2933) (Show Source):
You can put this solution on YOUR website! I think you forgot an x, so I plugged it in.
Complete the follwing function for Generate the graph and find the Vertex and x&y intercepts for the graph, show all work.
Your quadratic equation is in standard form: . Your a=-4, b=16, c=19 (note: a is negative, so your parabola opens down.)
First find the axis of symmetry, which is also the x value of the vertex using the formula 


This is your axis of symmetry and x value of the vertex, to find the y value of the vertex find g(2):




Your vertex is (2,35). Plot that point.
The y-intercept is found by letting x =0 and solve for y:


The y-intercept is (0,-19).
The x-intercept is found by letting g(x)=0 and solving for x:

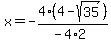
This can't be factored, so use the quadratic formula to solve it:






and 
and 
and 
x~~4.958039892 and x~~-.9580398915
The program is not responding to my attempts to regraph this.
Plot the vertex(2,35), the y-int (0,19), the x-int (-.95,0) and (4.95,0) and connect the dots. You should have an upside down parabola.
Happy Calculating!!!
|
|
|