You can put this solution on YOUR website! Find the center and radius of the circle whose equation is 4x^2+x+4y^2-6y-15=0
----------
4x^2+x+4y^2-6y-15=0
4x^2+x+4y^2-6y = 15
Complete the squares
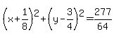
x^2+x/4 + y^2- 3y/2 = 15/4
x^2+x/4 + 1/64 + y^2- 3y/2 + 9/16 = 15/4 + 1/64 + 9/16
Center at (-1/8,3/4)