SOLUTION: I need to graph several ordered pairs for y=.05x+60. I need help solving the equation.

Algebra ->  Graphs -> SOLUTION: I need to graph several ordered pairs for y=.05x+60. I need help solving the equation.      Log On


   



Question 469960: I need to graph several ordered pairs for y=.05x+60. I need help solving the equation.
Answer by stanbon(75887) About Me  (Show Source):
You can put this solution on YOUR website!
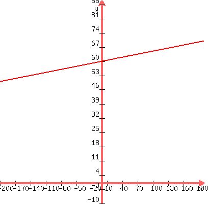
I need to graph several ordered pairs for y=0.05x+60.
---
You need two points:
Let x = 0, then y = 60
Let x = 100, then y = 60+5 = 65
----
Plot (0,60) and (100,65) and draw a line thru the points.
graph%28400%2C400%2C-200%2C200%2C-10%2C90%2C0.05x%2B60%29
------
Cheers,
Stan H.
=========