|
Question 466443: What's the equation of the given lines in standard form?? Help Been stuck for hours
). The line with m = 4 and intersecting 2x -4y = 8 at x = 6.
2.) The line through (2, -1) and parallel to x - 2y = 6.
3.) The line with m = 4 and the point (0, -9).
4.)The line with a slope of -1/3 and b of 6.
5.)The line including two points (6, 4) and (-5, 3).
Answer by ccs2011(207) (Show Source):
You can put this solution on YOUR website! Standard form of equation of a line:
Ax + By = C
Slope-intercept form of equation of a line:
y = mx + b
Point slope form of equation of a line:
(y - y1) = m(x - x1)
1) *************************************************
m = 4
Now we need a point on the line, the point where the 2 lines intersect at x=6
To find y value, substitute in 6 for x and solve for y.


Subtract 12 on both sides

Divide by -4 on both sides

Thus the point is (6,1)
We have slope and a point, use point-slope form:

Distribute

Subtract 4x on both sides

Add 1 on both sides

This is the equation of the line in standard form
2)***********************************************************
Parallel lines have equal slopes
Convert line x - 2y = 6 to slope-intercept form:

Subtract x on both sides

Divide by -2 on both sides

From y=mx +b we see that 
Point on the line is (2,-1)
We have slope and a point, use point-slope form:

Distribute

Subtract x/2 on both sides

Subtract 1 on both sides

Cannot have fractions in standard form
Multiply equation by 2 to cancel denominators

This is the equation of the line in standard form
3)*******************************************************
m = 4
point on the line is (0,-9)
We have slope and a point, use point-slope form:

Distribute

Subtract 4x on both sides

Subtract 9 on both sides

This is the equation of the line in standard form
4)**********************************************************
slope = m = -1/3
y_intercept = b = 6
We have slope and y_intercept, use slope-intercept form:
y=mx+b

Add x/3 on both sides

Cannot have fractions in standard form
Multiply equation by 3 to cancel out denominator

This is the equation of the line in standard form
5) **********************************************************
Given 2 points (6,4) and (-5,3)
Find slope using slope formula:



Division of 2 negative numbers equals a positive

Pick one of our points, say (6,4)
We have slope and a point, use point-slope form:

Distribute

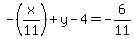
Subtract x/11 on both sides

Add 4 on both sides
Notice we have to add fractions, find common denominator
4 = 44/11
-6/11 + 44/11 = 38/11

Cannot have fractions in standard form
Multiply equation by 11 to cancel out denominator

This is the equation of the line in standard form
******************************************************
|
|
|
| |