SOLUTION: graph the function y=2(x-3)squared-1. Show and label at least 3 points.
Algebra
->
Graphs
-> SOLUTION: graph the function y=2(x-3)squared-1. Show and label at least 3 points.
Log On
Algebra: Graphs, graphing equations and inequalities
Section
Solvers
Solvers
Lessons
Lessons
Answers archive
Answers
Click here to see ALL problems on Graphs
Question 362346
:
graph the function y=2(x-3)squared-1. Show and label at least 3 points.
Answer by
Fombitz(32388)
(
Show Source
):
You can
put this solution on YOUR website!
The vertex is (
,
).
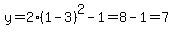
When
,
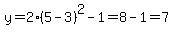
When
,
.
.
.