SOLUTION: Please help me solve {{{ y = -x^2 + 2x + 3 }}} I understand how to do the simpler equations, such as y = 2x + 3, but am confused on how to solve for the equations when there are e

Algebra ->  Graphs -> SOLUTION: Please help me solve {{{ y = -x^2 + 2x + 3 }}} I understand how to do the simpler equations, such as y = 2x + 3, but am confused on how to solve for the equations when there are e      Log On


   



Question 215690: Please help me solve +y+=+-x%5E2+%2B+2x+%2B+3+
I understand how to do the simpler equations, such as y = 2x + 3, but am confused on how to solve for the equations when there are exponents. Thank you!

Answer by Alan3354(69443) About Me  (Show Source):
You can put this solution on YOUR website!
Please help me solve +y+=+-x%5E2+%2B+2x+%2B+3+
I understand how to do the simpler equations, such as y = 2x + 3, but am confused on how to solve for the equations when there are exponents.
---------------
Do you know about quadratics at all?
Solved by pluggable solver: SOLVE quadratic equation (work shown, graph etc)
Quadratic equation ax%5E2%2Bbx%2Bc=0 (in our case -1x%5E2%2B2x%2B3+=+0) has the following solutons:

x%5B12%5D+=+%28b%2B-sqrt%28+b%5E2-4ac+%29%29%2F2%5Ca

For these solutions to exist, the discriminant b%5E2-4ac should not be a negative number.

First, we need to compute the discriminant b%5E2-4ac: b%5E2-4ac=%282%29%5E2-4%2A-1%2A3=16.

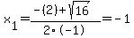
Discriminant d=16 is greater than zero. That means that there are two solutions: +x%5B12%5D+=+%28-2%2B-sqrt%28+16+%29%29%2F2%5Ca.

x%5B1%5D+=+%28-%282%29%2Bsqrt%28+16+%29%29%2F2%5C-1+=+-1
x%5B2%5D+=+%28-%282%29-sqrt%28+16+%29%29%2F2%5C-1+=+3

Quadratic expression -1x%5E2%2B2x%2B3 can be factored:
-1x%5E2%2B2x%2B3+=+%28x--1%29%2A%28x-3%29
Again, the answer is: -1, 3. Here's your graph:
graph%28+500%2C+500%2C+-10%2C+10%2C+-20%2C+20%2C+-1%2Ax%5E2%2B2%2Ax%2B3+%29