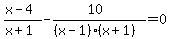
SOLUTION: Solve and check all proposed solutions. {{{(x-4)/(x+1)-10/(x^2-1)=0}}}

Algebra ->  Graphs -> SOLUTION: Solve and check all proposed solutions. {{{(x-4)/(x+1)-10/(x^2-1)=0}}}      Log On


   



Question 150026: Solve and check all proposed solutions. %28x-4%29%2F%28x%2B1%29-10%2F%28x%5E2-1%29=0
Answer by jim_thompson5910(35256) About Me  (Show Source):
You can put this solution on YOUR website!
%28x-4%29%2F%28x%2B1%29-%2810%29%2F%28x%5E2-1%29=0 Start with the given equation.


%28x-4%29%2F%28x%2B1%29-%2810%29%2F%28%28x-1%29%28x%2B1%29%29=0 Factor x%5E2-1 to get %28x-1%29%28x%2B1%29


Notice how the LCD is %28x-1%29%28x%2B1%29


Multiply both sides by the LCD %28x-1%29%28x%2B1%29 to clear the fractions.


Distribute. Notice how the denominators cancel.


%28x-1%29%28x-4%29-10=%28x-1%29%28x%2B1%29%280%29 Simplify


%28x-1%29%28x-4%29-10=0 Multiply the terms on the right side to get 0


x%5E2-5x%2B4-10=0 FOIL


x%5E2-5x-6=0 Combine like terms.


Let's use the quadratic formula to solve for x


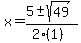
x+=+%28-b+%2B-+sqrt%28+b%5E2-4ac+%29%29%2F%282a%29 Start with the quadratic formula


x+=+%28-%28-5%29+%2B-+sqrt%28+%28-5%29%5E2-4%281%29%28-6%29+%29%29%2F%282%281%29%29 Plug in a=1, b=-5, and c=-6


x+=+%285+%2B-+sqrt%28+%28-5%29%5E2-4%281%29%28-6%29+%29%29%2F%282%281%29%29 Negate -5 to get 5.


x+=+%285+%2B-+sqrt%28+25-4%281%29%28-6%29+%29%29%2F%282%281%29%29 Square -5 to get 25.


x+=+%285+%2B-+sqrt%28+25--24+%29%29%2F%282%281%29%29 Multiply 4%281%29%28-6%29 to get -24


x+=+%285+%2B-+sqrt%28+25%2B24+%29%29%2F%282%281%29%29 Rewrite sqrt%2825--24%29 as sqrt%2825%2B24%29


x+=+%285+%2B-+sqrt%28+49+%29%29%2F%282%281%29%29 Add 25 to 24 to get 49


x+=+%285+%2B-+sqrt%28+49+%29%29%2F%282%29 Multiply 2 and 1 to get 2.


x+=+%285+%2B-+7%29%2F%282%29 Take the square root of 49 to get 7.


x+=+%285+%2B+7%29%2F%282%29 or x+=+%285+-+7%29%2F%282%29 Break up the expression.


x+=+%2812%29%2F%282%29 or x+=++%28-2%29%2F%282%29 Combine like terms.


x+=+6 or x+=+-1 Simplify.


So the possible answers are x+=+6 or x+=+-1


However, we need to check them first.

Check:

Let's test the first solution x+=+6

%28x-4%29%2F%28x%2B1%29-%2810%29%2F%28x%5E2-1%29=0 Start with the given equation.


%286-4%29%2F%286%2B1%29-%2810%29%2F%286%5E2-1%29=0 Plug in x+=+6.


%286-4%29%2F%286%2B1%29-%2810%29%2F%2836-1%29=0 Square 6 to get 36


%282%29%2F%287%29-%2810%29%2F%2835%29=0 Combine like terms.


%2810%29%2F%2835%29-%2810%29%2F%2835%29=0 Multiply 2%2F7 by 5%2F5


%280%29%2F%2835%29=0 Combine the fractions.


0=0 Reduce. Since the equation is true, this means that x+=+6 is a solution.


----------------------------------


Let's test the second solution x+=+-1

%28x-4%29%2F%28x%2B1%29-%2810%29%2F%28x%5E2-1%29=0 Start with the given equation.


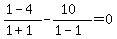
%281-4%29%2F%281%2B1%29-%2810%29%2F%28%28-1%29%5E2-1%29=0 Plug in x+=+-1.


%281-4%29%2F%281%2B1%29-%2810%29%2F%281-1%29=0 Square -1 to get 1


%28-3%29%2F%282%29-%2810%29%2F%280%29=0 Combine like terms.
Since division by zero is undefined, this means that x+=+-1 is not a solution.


========================================================

Answer:

So the solution to %28x-4%29%2F%28x%2B1%29-%2810%29%2F%28x%5E2-1%29=0 is x=6