|
Question 140320: Solve by elimination
Answer by jim_thompson5910(35256) (Show Source):
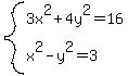
You can put this solution on YOUR website! Start with the given system of equations:
Now in order to solve this system by using elimination/addition, we need to solve (or isolate) one variable. I'm going to solve for y.
In order to solve for one variable, we must eliminate the other variable. So if we wanted to solve for , we would have to eliminate (or vice versa).
So lets eliminate . In order to do that, we need to have both coefficients that are equal in magnitude but have opposite signs (for instance 2 and -2 are equal in magnitude but have opposite signs). This way they will add to zero. By adding to zero, they can be eliminated.
So to make the coefficients equal in magnitude but opposite in sign, we need to multiply both coefficients by some number to get them to an common number. So if we wanted to get and to some equal number, we could try to get them to the LCM.
Since the LCM of and is , we need to multiply both sides of the top equation by and multiply both sides of the bottom equation by like this:
Multiply the top equation (both sides) by 
Multiply the bottom equation (both sides) by
Distribute and multiply

Now add the equations together. In order to add 2 equations, group like terms and combine them
Combine like terms and simplify
Notice how the x terms cancel out
Simplify
Divide both sides by to isolate y
Reduce
Take the square root of both sides
Simplify
or
Now plug in into the top equation to solve for x
Start with the first equation
Plug in
Square and multiply
Subtract 4 from both sides
Combine like terms on the right side
Divide both sides by 3 to isolate x
Reduce
Take the square root of both sides
Simplify
or
So when , or
So the first two solutions are or
------------------------------------
Now plug in into the top equation to solve for x
Start with the first equation
Plug in
Square and multiply
Subtract 4 from both sides
Combine like terms on the right side
Divide both sides by 3 to isolate x
Reduce
Take the square root of both sides
Simplify
or
So when , or
So two more solutions are or
=====================================================
So our solutions are
, , , or
|
|
|
| |