SOLUTION: Find the minimum distance between f(x)=x^2 and y=2x-5

Algebra ->  Graphs -> SOLUTION: Find the minimum distance between f(x)=x^2 and y=2x-5      Log On


   



Question 125671: Find the minimum distance between f(x)=x^2 and y=2x-5
Answer by MathLover1(20853) About Me  (Show Source):
You can put this solution on YOUR website!
let's first graph given parabola y=x%5E2 and a line y=2x-5

graph%28+600%2C+400%2C+-10%2C+10%2C+-20%2C+20%2C+x%5E2%2C+2x-5%29+
as you can see, there are no points of intersection
on a graph above we have given parabola y=x%5E2 and line 2x-5
now, I will add a line 2x-1 parallel to the given line 2x-5(these lines have same slopes) which will be a tangent (there will be one point of intersection) on parabola x%5E2; the distance between these two parallel lines will be equal to the distance between the given line and parabola

graph%28+600%2C+400%2C+-10%2C+10%2C+-20%2C+20%2C+x%5E2%2C+2x-5%2C+2x-1%29+

now, we can choose two points (one on each of parallel lines) and find a distance between them; it will be also equal to the distance between parabola and the given line

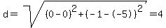
Solved by pluggable solver: Distance between two points in two dimensions
The distance (denoted by d) between two points in two dimensions is given by the following formula:

d=sqrt%28%28x1-x2%29%5E2+%2B+%28y1-y2%29%5E2%29

Thus in our case, the required distance is
d=sqrt%28%280-0%29%5E2+%2B+%28-1--5%29%5E2%29=+4+


For more on this concept, refer to Distance formula.




answer is: the distance is 4