SOLUTION: Graph the equations. (1) y = -x squared + 3x (2) y = x squared + 1

Algebra ->  Graphs -> SOLUTION: Graph the equations. (1) y = -x squared + 3x (2) y = x squared + 1      Log On


   



Question 122813: Graph the equations.
(1) y = -x squared + 3x
(2) y = x squared + 1

Answer by jim_thompson5910(35256) About Me  (Show Source):
You can put this solution on YOUR website!
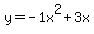
# 1

In order to graph f%28x%29=-1x%5E2%2B3x, we need to plot some points. To do that, we need to plug in some x values to get some y values


So let's find the first point:



f%28x%29=-1x%5E2%2B3x Start with the given function


f%28-2%29=-1%28-2%29%5E2%2B3%28-2%29 Plug in x=-2


f%28-2%29=-1%2A4%2B3%2A-2 Raise -2 to the 2nd power to get 4


f%28-2%29=-4%2B3%2A-2 Multiply -1 and 4 to get -4


f%28-2%29=-4%2B-6 Multiply 3 and -2 to get -6


f%28-2%29=-10 Add -4 and -6 to get -10


So when x=-2, we have y=-10


So our 1st point is (-2,-10)


-------------- Let's find another point --------------


f%28x%29=-1x%5E2%2B3x Start with the given function


f%28-1%29=-1%28-1%29%5E2%2B3%28-1%29 Plug in x=-1


f%28-1%29=-1%2A1%2B3%2A-1 Raise -1 to the 2nd power to get 1


f%28-1%29=-1%2B3%2A-1 Multiply -1 and 1 to get -1


f%28-1%29=-1%2B-3 Multiply 3 and -1 to get -3


f%28-1%29=-4 Add -1 and -3 to get -4


So when x=-1, we have y=-4


So our 2nd point is (-1,-4)


-------------- Let's find another point --------------


f%28x%29=-1x%5E2%2B3x Start with the given function


f%280%29=-1%280%29%5E2%2B3%280%29 Plug in x=0


f%280%29=-1%2A0%2B3%2A0 Raise 0 to the 2nd power to get 0


f%280%29=0%2B3%2A0 Multiply -1 and 0 to get 0


f%280%29=0%2B0 Multiply 3 and 0 to get 0


f%280%29=0 Add 0 and 0 to get 0


So when x=0, we have y=0


So our 3rd point is (0,0)


-------------- Let's find another point --------------


f%28x%29=-1x%5E2%2B3x Start with the given function


f%281%29=-1%281%29%5E2%2B3%281%29 Plug in x=1


f%281%29=-1%2A1%2B3%2A1 Raise 1 to the 2nd power to get 1


f%281%29=-1%2B3%2A1 Multiply -1 and 1 to get -1


f%281%29=-1%2B3 Multiply 3 and 1 to get 3


f%281%29=2 Add -1 and 3 to get 2


So when x=1, we have y=2


So our 4th point is (1,2)


-------------- Let's find another point --------------


f%28x%29=-1x%5E2%2B3x Start with the given function


f%282%29=-1%282%29%5E2%2B3%282%29 Plug in x=2


f%282%29=-1%2A4%2B3%2A2 Raise 2 to the 2nd power to get 4


f%282%29=-4%2B3%2A2 Multiply -1 and 4 to get -4


f%282%29=-4%2B6 Multiply 3 and 2 to get 6


f%282%29=2 Add -4 and 6 to get 2


So when x=2, we have y=2


So our 5th point is (2,2)


-------------- Let's find another point --------------


f%28x%29=-1x%5E2%2B3x Start with the given function


f%283%29=-1%283%29%5E2%2B3%283%29 Plug in x=3


f%283%29=-1%2A9%2B3%2A3 Raise 3 to the 2nd power to get 9


f%283%29=-9%2B3%2A3 Multiply -1 and 9 to get -9


f%283%29=-9%2B9 Multiply 3 and 3 to get 9


f%283%29=0 Add -9 and 9 to get 0


So when x=3, we have y=0


So our 6th point is (3,0)


-------------- Let's find another point --------------


f%28x%29=-1x%5E2%2B3x Start with the given function


f%284%29=-1%284%29%5E2%2B3%284%29 Plug in x=4


f%284%29=-1%2A16%2B3%2A4 Raise 4 to the 2nd power to get 16


f%284%29=-16%2B3%2A4 Multiply -1 and 16 to get -16


f%284%29=-16%2B12 Multiply 3 and 4 to get 12


f%284%29=-4 Add -16 and 12 to get -4


So when x=4, we have y=-4


So our 7th point is (4,-4)


-------------- Let's find another point --------------


f%28x%29=-1x%5E2%2B3x Start with the given function


f%285%29=-1%285%29%5E2%2B3%285%29 Plug in x=5


f%285%29=-1%2A25%2B3%2A5 Raise 5 to the 2nd power to get 25


f%285%29=-25%2B3%2A5 Multiply -1 and 25 to get -25


f%285%29=-25%2B15 Multiply 3 and 5 to get 15


f%285%29=-10 Add -25 and 15 to get -10


So when x=5, we have y=-10


So our 8th point is (5,-10)


Now lets make a table of the values we have calculated
xy
-2-10
-1-4
00
12
22
30
4-4
5-10
Now plot the points



Now connect the points to graph y=-1x%5E2%2B3x (note: the more points you plot, the easier it is to draw the graph)









# 2


In order to graph f%28x%29=1x%5E2%2B1, we need to plot some points. To do that, we need to plug in some x values to get some y values


So let's find the first point:



f%28x%29=1x%5E2%2B1 Start with the given function


f%28-3%29=1%28-3%29%5E2%2B1 Plug in x=-3


f%28-3%29=1%2A9%2B1 Raise -3 to the 2nd power to get 9


f%28-3%29=9%2B1 Multiply 1 and 9 to get 9


f%28-3%29=10 Add 9 and 1 to get 10


So when x=-3, we have y=10


So our 1st point is (-3,10)


-------------- Let's find another point --------------


f%28x%29=1x%5E2%2B1 Start with the given function


f%28-2%29=1%28-2%29%5E2%2B1 Plug in x=-2


f%28-2%29=1%2A4%2B1 Raise -2 to the 2nd power to get 4


f%28-2%29=4%2B1 Multiply 1 and 4 to get 4


f%28-2%29=5 Add 4 and 1 to get 5


So when x=-2, we have y=5


So our 2nd point is (-2,5)


-------------- Let's find another point --------------


f%28x%29=1x%5E2%2B1 Start with the given function


f%28-1%29=1%28-1%29%5E2%2B1 Plug in x=-1


f%28-1%29=1%2A1%2B1 Raise -1 to the 2nd power to get 1


f%28-1%29=1%2B1 Multiply 1 and 1 to get 1


f%28-1%29=2 Add 1 and 1 to get 2


So when x=-1, we have y=2


So our 3rd point is (-1,2)


-------------- Let's find another point --------------


f%28x%29=1x%5E2%2B1 Start with the given function


f%280%29=1%280%29%5E2%2B1 Plug in x=0


f%280%29=1%2A0%2B1 Raise 0 to the 2nd power to get 0


f%280%29=0%2B1 Multiply 1 and 0 to get 0


f%280%29=1 Add 0 and 1 to get 1


So when x=0, we have y=1


So our 4th point is (0,1)


-------------- Let's find another point --------------


f%28x%29=1x%5E2%2B1 Start with the given function


f%281%29=1%281%29%5E2%2B1 Plug in x=1


f%281%29=1%2A1%2B1 Raise 1 to the 2nd power to get 1


f%281%29=1%2B1 Multiply 1 and 1 to get 1


f%281%29=2 Add 1 and 1 to get 2


So when x=1, we have y=2


So our 5th point is (1,2)


-------------- Let's find another point --------------


f%28x%29=1x%5E2%2B1 Start with the given function


f%282%29=1%282%29%5E2%2B1 Plug in x=2


f%282%29=1%2A4%2B1 Raise 2 to the 2nd power to get 4


f%282%29=4%2B1 Multiply 1 and 4 to get 4


f%282%29=5 Add 4 and 1 to get 5


So when x=2, we have y=5


So our 6th point is (2,5)


-------------- Let's find another point --------------


f%28x%29=1x%5E2%2B1 Start with the given function


f%283%29=1%283%29%5E2%2B1 Plug in x=3


f%283%29=1%2A9%2B1 Raise 3 to the 2nd power to get 9


f%283%29=9%2B1 Multiply 1 and 9 to get 9


f%283%29=10 Add 9 and 1 to get 10


So when x=3, we have y=10


So our 7th point is (3,10)


Now lets make a table of the values we have calculated
xy
-310
-25
-12
01
12
25
310
Now plot the points



Now connect the points to graph y=1x%5E2%2B1 (note: the more points you plot, the easier it is to draw the graph)