SOLUTION: What is the range of the function given by the following graph, and how did you figure it out? Image link: https://gyazo.com/c0433ba101c61a63a0ec9b38445b162d

Algebra ->  Graphs -> SOLUTION: What is the range of the function given by the following graph, and how did you figure it out? Image link: https://gyazo.com/c0433ba101c61a63a0ec9b38445b162d       Log On


   



Question 1203502: What is the range of the function given by the following graph, and how did you figure it out?
Image link: https://gyazo.com/c0433ba101c61a63a0ec9b38445b162d

Found 2 solutions by Edwin McCravy, mccravyedwin:
Answer by Edwin McCravy(20067) About Me  (Show Source):
You can put this solution on YOUR website!

graph%28400%2C200%2C-12%2C12%2C-6%2C6%2C48%2F%28%28x-4%29%28x%2B4%29%29%29

It have vertical asymptotes x=4 and x=-4, so the denominator
must contain (x-4)(x+4).

It has the x-axis as a horizontal asymptote, so the numerator
must be of lower degree than the denominator. so it has the
form: 

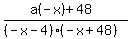
f%28x%29%22%22=%22%22%28ax%2Bb%29%2F%28%28x-4%29%28x%2B4%29%29

It passes through (0,-3), so f(0) = -3

-3%22%22=%22%22%28a%280%29%2Bb%29%2F%28%280-4%29%280%2B4%29%29

-3%22%22=%22%22%28b%29%2F%28-16%29%29

48=b

It is symmetrical with respect to the y axis, 
therefore f(x) = f(-x)

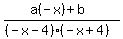
f%28-x%29%22%22=%22%22%28a%28-x%29%2B48%29%2F%28%28-x-4%29%28-x%2B48%29%29

So

%28ax-48%29%2F%28%28x-4%29%28x%2B4%29%29%22%22=%22%22%28a%28-x%29%2Bb%29%2F%28%28-x-4%29%28-x%2B4%29%29

ax%2B48%22%22=%22%22a%28-x%29%2B48

ax=-ax

a = -a for all values of x, thus a=0

The equation is

f%28x%29%22%22=%22%2248%2F%28%28x-4%29%28x%2B4%29%29

The range is (-infinity,-3] U (0,infinity)

Edwin

Answer by mccravyedwin(410) About Me  (Show Source):
You can put this solution on YOUR website!
Here's how to find the range:

graph%28400%2C200%2C-12%2C12%2C-6%2C6%2C48%2F%28%28x-4%29%28x%2B4%29%29%29

Think of drawing a horizontal line through every point on the graph,
like this. (Don't actually do it, but think of doing it.)



What points on they y-axis will have a line through them?

There will be lines through every point on the graph from
negative infinity up to AND including -3. So the first part 
of the range will be 

               (-infinity,3]

We don't include infinity or -infinity, so we put a "(" or ")" next to 
positive or negative infinity.  We put a "]" or "[" next to a point we
include.

Then there will be NO lines through the y-axis from -3 up to the x-axis.
So there will not be a line along the x-axis, for that is a horizontal
asymptote. But there will be lines through the rest of the points on the 
y-axis. So that upper part of the range is (0,infinity).  We "union" them
together with a U

So the final answer is 

              (-infinity,-3] U (0,infinity)

We use a "(" next to 0 because we do not include it, we have a horizontal
asymptote there.

Edwin