SOLUTION: the radius (R) and the center (C) of the circle x^2+y^2+6x-4y+3=0 are ?

Algebra ->  Graphs -> SOLUTION: the radius (R) and the center (C) of the circle x^2+y^2+6x-4y+3=0 are ?      Log On


   



Question 1044629: the radius (R) and the center (C) of the circle x^2+y^2+6x-4y+3=0 are ?
Found 2 solutions by Alan3354, advanced_Learner:
Answer by Alan3354(69443) About Me  (Show Source):
You can put this solution on YOUR website!
Complete the square for x, and for y.

Answer by advanced_Learner(501) About Me  (Show Source):
You can put this solution on YOUR website!
+x%5E2%2By%5E2%2B6x-4y%2B3 = 0
+x%5E2%2B6x%2By%5E2-4y%2B3 = 0
+%28x%5E2%2B6x%2B9-9%29%2B%28y%5E2-4y%2B4-4%29%2B3 = 0
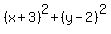
+%28x%2B3%29%5E2%2B%28y-2%29%5E2 = 10
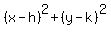
+%28x-h%29%5E2%2B%28y-k%29%5E2 = r%5E2
C(-3,2) and r=sqrt(10)