SOLUTION: A viral infection is discovered by the CDC in Atlanta to have a doubling time of only 36 hours. Assuming there are currently 50 cases, how long will it be before there are over 100

Algebra ->  Graphs -> SOLUTION: A viral infection is discovered by the CDC in Atlanta to have a doubling time of only 36 hours. Assuming there are currently 50 cases, how long will it be before there are over 100      Log On


   



Question 1033836: A viral infection is discovered by the CDC in Atlanta to have a doubling time of only 36 hours. Assuming there are currently 50 cases, how long will it be before there are over 1000 cases of infection?
Answer by fractalier(6550) About Me  (Show Source):
You can put this solution on YOUR website!
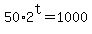
If we call a period of 36 hours our time t, then we can write
50%2A2%5Et+=+1000
Now solve for t...we get
2%5Et+=+20 and
t = 4.32 periods of 36 hours which is
155.6 hours