SOLUTION: Write an exponential function such that f(-2) = 25 and f(1) = 8/5. I got F(x) = 6.25*(0.4) ͯ but my teacher tells me its not 6.25 but 4. Where do I get the 4 from?

Algebra ->  Graphs -> SOLUTION: Write an exponential function such that f(-2) = 25 and f(1) = 8/5. I got F(x) = 6.25*(0.4) ͯ but my teacher tells me its not 6.25 but 4. Where do I get the 4 from?       Log On


   



Question 1009912: Write an exponential function such that f(-2) = 25 and f(1) = 8/5.
I got F(x) = 6.25*(0.4) ͯ but my teacher tells me its not 6.25 but 4. Where do I get the 4 from?

Found 2 solutions by josmiceli, MathLover1:
Answer by josmiceli(19441) About Me  (Show Source):
You can put this solution on YOUR website!
It does check out with +4+
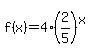
+f%28x%29+=+4%2A%282%2F5%29%5Ex+
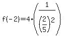
+f%28-2%29+=+4%2A%282%2F5%29%5E%28-2%29+
+f%28-2%29+=+4%2A%28+1+%2F+%282%2F5%29%5E2%29+
+f%28-2%29+=+4%2A%285%2F2%29%5E2+
+f%28-2%29+=+4%2A%2825%2F4%29+
+f%28-2%29+=+25+
-------------------
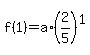
+f%281%29+=+4%2A%282%2F5%29%5E1+
+f%281%29+=+8%2F5+
-------------------
As for how to get the +4+,
+f%28-2%29+=+a%2A%282%2F5%29%5E%28-2%29+
+f%28-2%29+=+%2825a%29%2F4+
+25+=+%2825a%29%2F4+
+1+=+a%2F4+
+a+=+4+
and
+f%281%29+=a%2A%282%2F5%29%5E1+
+f%281%29+=+%282a%29%2F5+
+8%2F5+=+%282a%29%2F5+
+2a+=+8+
+a+=+4+
Hope this helps

Answer by MathLover1(20850) About Me  (Show Source):
You can put this solution on YOUR website!
f%28x%29=ab%5Ex can be the form of the exponential function.
Two points are (-2,25) and (1, 8%2F5).
25=ab%5E%28-2%29
1=ab%5E%288%2F5%29
solve the system:
Take logarithms of both sides, base of your choice, and you will have a linear equation. You would need to make an adjustment to the vertical axis component of your given points.
log%2825%29=log%28ab%5E%28-2%29%29
log%285%5E2%29=log%28a%29%2Blog%28b%5E%28-2%29%29
2log%285%29=log%28a%29%2B%28-2%29log%28b%29
2log%285%29=log%28a%29-2log%28b%29.......eq.1

log%281%29=log%28ab%5E%288%2F5%29%29
0=log%28a%29%2Blog%28b%5E%288%2F5%29%29
0=log%28a%29%2B%288%2F5%29log%28b%29.......eq.2
subtract eq.1 from eq.2
0-2log%285%29=log%28a%29-log%28a%29%2B%288%2F5%29log%28b%29%2B2log%28b%29
-2log%285%29=%288%2F5%29log%28b%29%2B%2810%2F5%29log%28b%29
-2log%285%29=%2818%2F5%29log%28b%29
log%285%5E-2%29=log%28b%5E%2818%2F5%29%29
5%5E-2=b%5E%2818%2F5%29
b+=+1%2F5%5E%285%2F9%29
b+=+0.4

now find a
log%28a%29=-%288%2F5%29log%28b%29 from eq.2
log%28a%29=-%288%2F5%29log%280.4%29
log%28a%29=log%280.4%5E%28-%288%2F5%29%29%29
a=0.4%5E%28-%288%2F5%29%29
a=1%2F%280.4%5E%288%2F5%29%29
a=1%2F0.230832
a=4.3321549871
a=4

so, f%28x%29=4%280.4%29%5Ex